近日,我校资源环境学院、岭南现代农业科学与技术广东省实验室、广东省现代生态农业与循环农业工程技术研究中心、农业农村部华南热带农业环境重点实验室章家恩教授团队在Nature子刊Nature Climate Change(中科院1区,影响因子31.1)在线发表题为“Conventional agriculture increases global warming while decreasing system sustainability”的研究论文。团队还在环境科学与生态学领域知名期刊Journal of Cleaner Production(中科院1区,影响因子10.2)在线发表了题为“Carbon footprint of global rice production and consumption”的论文。
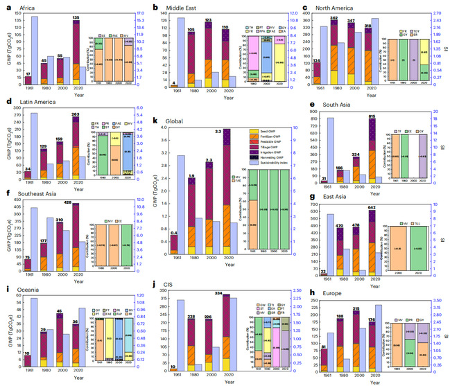
自“绿色革命”以来,农业的集约化生产带来了作物产量的大幅增长,但同时也增加了农业生产过程中人为导致的温室气体排放。为回答全球不同国家和地区主要粮食作物(水稻、小麦、玉米)的常规集约化生产(“石油农业”生产方式)导致的全球增温潜势及系统可持续水平的差异,该论文开展了全球尺度主要粮食作物“从摇篮(种子)到大门(农田生产收获)”(cradle-to-gate)的综合量化分析。研究结果表明,从1961年至2020年,常规农业生产方式下主要谷物作物的全球增温潜势(GWP)增加了8倍,而其系统可持续性指数(SI)下降了3倍,其主要原因(90%)是由于生产过程中肥料使用量和地下水使用量增加10倍,机械化和灌溉面积增加2倍以上。该研究进一步分析指出在全球增温潜势高、可持续性指数低的一些地区,如南亚地区,其施肥、灌溉和耕作等产生的GWP从1961年到2020年分别增加了83、19和6倍,值得重点关注。
通过预测分析表明,到2100年,由于投入品使用效率的降低,农业全球变暖潜力将比2020年增加3倍。但若采用绿色能源(例如可再生能源、生物燃料和太阳能等)和气候智慧型农业技术(例如农业投入品精准施用方案、时间和用量、分次施肥、合理使用抑制剂等),则2100年的全球增温潜势将降低到2.3 PgCO2e,农业生产系统的可持续性水平将增加4倍。
文章强调了常规集约化农业生产对全球变暖的影响作用,并在《巴黎协定》的框架下提出了缓解全球气候变化的可能方案,且确保在对作物产量没有负面影响的前提下增加系统的可持续性水平。
论文第一作者为我校资源环境学院生态学学科在职博士后Ahmed I. Abdo,章家恩教授为论文通讯作者。相关研究得到广东省重点领域研发计划项目(2021B0202030002)、岭南现代农业科学与技术广东省实验室(NT2021010)、广东省科技计划项目(2019B030301007)等项目的资助。

图2 基于生命周期评价的常规农业集约化生产的全球增温潜势

图3 2020年国家尺度上谷物常规生产方式下全球增温潜势及其可持续性水平的差异
图4 全球和区域尺度上常规农业生产的全球增温潜势及其可持续性水平
题为“Carbon footprint of global rice production and consumption”的论文,报道了团队在全球稻谷生产和消费的碳足迹方面的研究成果。该论文运用生命周期评价方法对全球稻谷生产的碳足迹进行了全面量化分析,包括农业投入品(化肥、农药和种子)的生产、包装、运输过程,以及在生产过程中土壤和植物系统、田间生产操作以及生产的生物质使用及其生命周期结束的各个环节中与温室气体排放相关的直接或间接的碳源和碳汇。
研究结果表明,从全球尺度而言,2020年,在排除了每吨稻谷3265公斤CO2当量的植株生物量中固定的碳后,全球稻谷生产的碳足迹为每吨稻谷2430公斤CO2当量。其中46%来自“大门阶段”(Gate stage)(农田生产收获阶段),42%来自“坟墓阶段”(Grave stage)(消费阶段)。土壤的净温室气体排放、秸秆覆盖和焚烧以及田间操作分别占“田间生产阶段”碳足迹的20%、17%和63%。同时,农产品及食物消费对“Grave stage”碳足迹的贡献为92%。各国稻谷生产的碳足迹差异较大,范围在每吨稻谷14~4854公斤CO2当量之间。从国家尺度上而言,印度尼西亚、印度、越南和俄罗斯的稻谷生产碳足迹分别是全球平均水平的9%、50%、97%和122%。从区域尺度上而言,东南亚、南亚和东亚是全球水稻生产和消费中大气二氧化碳负荷的主要贡献者,分别占35%、34%和18%。预计到2100年,由于稻米消费的增长(32%),相应的CO2负荷将增加到3.1 Pg CO2当量。对此提出了一系列积极的应对策略,包括使用绿色能源、培育具有高收获指数的新品种、提高肥料、种子和农药利用效率和减少粮食供应链中的谷物损失,以期减少60%的CO2负荷。
论文全面评估了全球稻谷生产全生命周期的碳足迹,为在《巴黎协定》全球气候变化框架下减少温室气体排放提供了依据,并指出了实现这一目标的相关路径。
论文第一作者为我校资源环境学院生态学科博士后Ahmed I. Abdo,章家恩教授为论文通讯作者。相关研究得到广东省重点领域研发计划项目(2021B0202030002)、岭南现代农业科学与技术广东省实验室(NT2021010)、广东省现代农业产业技术体系创新团队建设项目(2023KJ105)、广东省科技计划项目(2019B030301007)等项目的资助。

图5 全球尺度上稻谷生产和消费的碳足迹示意图

图6 国家尺度上稻谷生产和消费主要生命周期阶段的碳足迹
相关论文链接:
论文链接:https://doi.org/10.1038/s41558-024-02170-4
论文链接:https://doi.org/10.1016/j.jclepro.2024.143560
文图/资源环境学院
