近日,Science of the Total Environment (影响因子10.753)在线发表了农学院唐湘如教授团队完成的题为“A 40 % paddy surface soil organic carbon increase after 5-year no-tillage is linked with shifts in soil bacterial composition and functions”的研究论文。(论文连接:https://www.sciencedirect.com/science/article/pii/S0048969722073065)。

土壤有机碳与土壤肥力、作物产量和气候变化密切相关。稻田土壤有较高的固碳潜力,其有机碳含量比旱地土壤高约20%。保护性耕作是能够提高稻田土壤固碳的农田管理方式,前期有稻田保护性耕作研究发现,采用保护性耕作后前期(3-5年)土壤有机碳快速积累,此后土壤有机碳增速放缓并趋向于平衡,于是作者推测,在稻田保护性耕作的短期效应和长期效应下,土壤有机碳积累机制不同。因此,作者在中国南方稻田5年的短期保护性耕作定位试验取样,分析了常规耕作(CT),少耕(RT)和免耕(NT)三种耕作措施的土壤固碳效应,测定了水稻秸秆碳投入、土壤有机碳含量、CO2排放通量以及土壤细菌群落组成和功能预测,旨在明确短期稻田保护性耕作的固碳效果及其与土壤细菌的关系。

免耕(NT)增加了水稻残茬碳输入12.6 % -15.9 %,这主要是由于在该试验下免耕增加了水稻产量,有meta分析研究认为稻田免耕并不能增加水稻产量,然而该研究增产效果明显,主要是因为作者采用了较好的农田管理方式配合免耕,如免耕钵苗插秧、氮肥侧深施和激光平地机等;与CT相比,NT增加了表层土壤有机碳40 %,此外NT也增加了CO2通量(图1)。因此,表现出高碳投入,高碳通量且高土壤固碳。

图1. 不同耕作措施对土壤有机碳、全氮和碳通量的影响
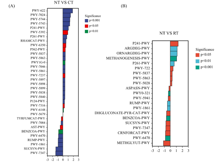
代谢途径差异分析表明,NT显著降低了benzcoa - py(厌氧芳香化合物降解)和ast-py (l-精氨酸降解II)。因此,稻田土壤有机碳的快速增加可能与土壤细菌调节的降解功能有关(图2)。

图2. 不同耕作措施下土壤细菌代谢功能差异分析
同时,NT显著改变了土壤细菌群落。随机森林模型表明,“降解/利用/同化Other”、“C1化合物同化”和“Amin和多胺降解”等土壤细菌代谢功能(基于MetaCyc预测),是与有机碳积累相关的最重要的土壤细菌潜在功能(图3和图4)。

图3. 不同耕作措施下土壤细菌物种差异分析

图4. 驱动有机碳变化的随机森林模型分析
5年短期的保护性耕作最大增加了土壤表层有机碳40%,这一方面是由于免耕下水稻秸秆碳投入增多,另一方面,土壤细菌的结构和功能也发生了变化,对土壤有机碳的增加有一定贡献。此外,作者预计此后稻田免耕下土壤有机碳增速放缓甚至不变,且短期效应之后土壤有机碳增加的驱动因素会发生改变,这可能与土壤有机碳趋近平衡(或饱和)有关。对比农田管理措施的短期和长期效应,以及进一步明确土壤有机碳短期和长期的积累规律,可能是一个有趣的研究方向。比如:短期和长期效应下土壤微生物的变化规律与有机碳变化的关系,以及植物残体和微生物残体在不同时间效应下对土壤有机碳的贡献。
文章第一作者为祁剑英副教授,通讯作者为唐湘如教授。该研究得到广州科技项目(202103000075和202102100008)、华南农业大学人才引进与研究计划项目(4100-222106)的资助。
文图/农学院
